Sy123
This too shall pass
- Joined
- Nov 6, 2011
- Messages
- 3,725
- Gender
- Male
- HSC
- 2013
Re: MX2 Integration Marathon

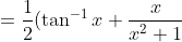
The integral resolves into:

 + c )
====
(1-e^{4x})}}} \ dx )
Upon the substitution:From now on I will try to post only questions that are done by very tricky substitutions, IBP or very tedious.
![]()
The integral resolves into:
====

